Oberheim Xpander ECOs (Engineering Change Orders)
  • eco601.jpg
  • eco602a.jpg
  • eco602b.jpg
  • eco603.jpg
  • eco604.jpg
  • eco605.jpg
  • eco606.jpg
  • eco607.jpg
  • eco608.jpg
  • eco609.jpg
  • eco610.jpg
  • eco611.jpg
  • eco612.jpg
  • eco613.jpg
  • eco614.jpg
  • eco615.jpg
  • eco616.jpg
  • eco617.jpg
  • eco618.jpg
  • eco619.jpg
  • eco620a.jpg
  • eco620b.jpg
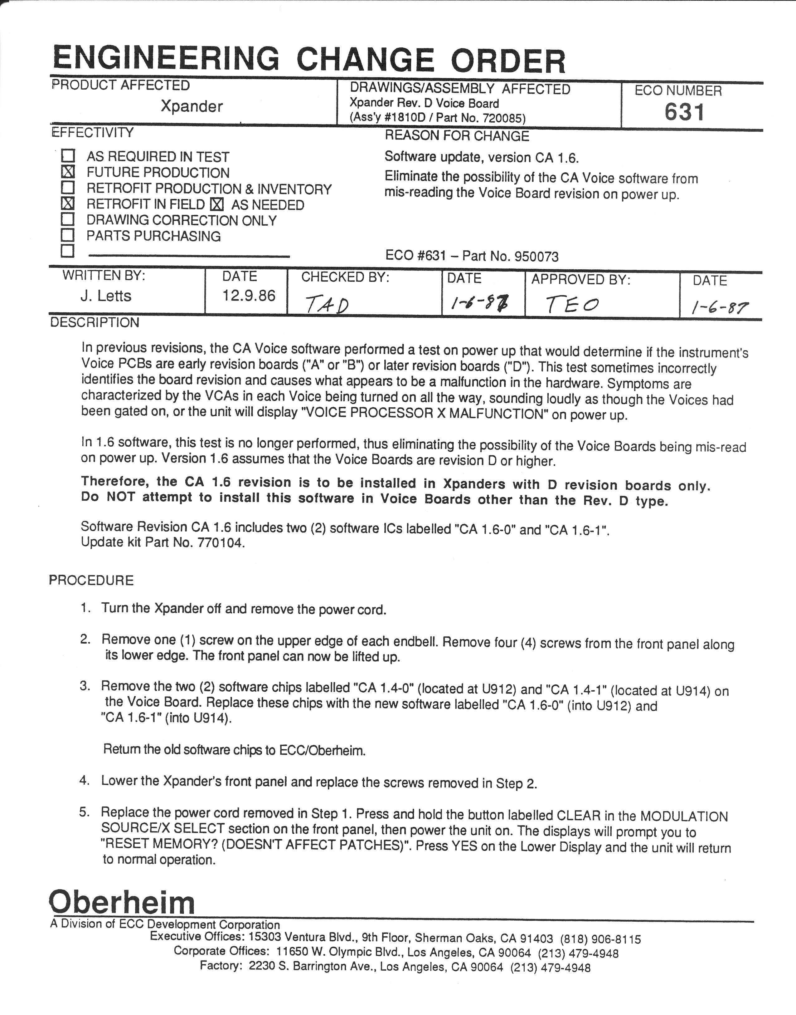
  • eco631.jpg